Determination of optical parameters on knee bending of the feet using fiber optic
DOI:
https://doi.org/10.59190/stc.v2i1.203Keywords:
Bending, Fiber Bragg Grating, Power Loss, Sensitivity, Single-Mode FiberAbstract
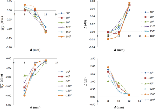
Fiber optics are the right transmission medium to monitor the movement of the human body, one of them is knee activity. Single-mode fiber (SMF) and fiber Bragg grating (FBG) as sensing sensors that can monitor damage to bad conditions of the human joint area so can prevent further damage. The purpose of this study was to design fiber optic-based belts due to macrobending with sinusoidal patterns, determine the relationship of knee benders with average power change of SMF and FBG, measure changes in power loss (L) fiber optics as a function of optical fiber diameter (d) and knee angle, and determine the optimum sensitivity (S) of SMF and FBG in detecting knee bending. The results showed that L of 0.0751 dB and S of 0.017442 dB are the largest values produced from the SMF belt with values d of 12 mm and knee angle of 180°. The values L of 2.0177 dB and S of 0.591382 dB are the largest values produced from FBG belts with values d of 8 mm and knee angle of 180°. The results of this study explain that FBG is more effective to use because it has a higher S value than SMF.

Downloads
Published
How to Cite
Issue
Section
License
Copyright (c) 2021 Science, Technology & Communication Journal

This work is licensed under a Creative Commons Attribution 4.0 International License.