Schrödinger's equation as a Hamiltonian system
DOI:
https://doi.org/10.59190/stc.v3i1.221Keywords:
Energy, Hamiltonian System, Momentum, Time-Dependent, Schrödinger EquationAbstract
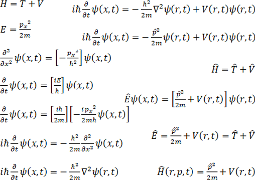
This article describes the concept of the time-dependent Schrödinger equation (TDSE) as a review to add a detailed understanding of the steps to formulate TDSE which can be seen from the classical mechanic's concept as a mechanical wave function. In this article, a comprehensive approach to the concepts of momentum and energy in particles will be described using operators working on wave functions. The results show that the use of momentum and energy operators can show that TDSE is a Hamiltonian system.
Downloads
Published
How to Cite
Issue
Section
License
Copyright (c) 2022 Suhaivi Hamdan, Erwin Amiruddin

This work is licensed under a Creative Commons Attribution 4.0 International License.









